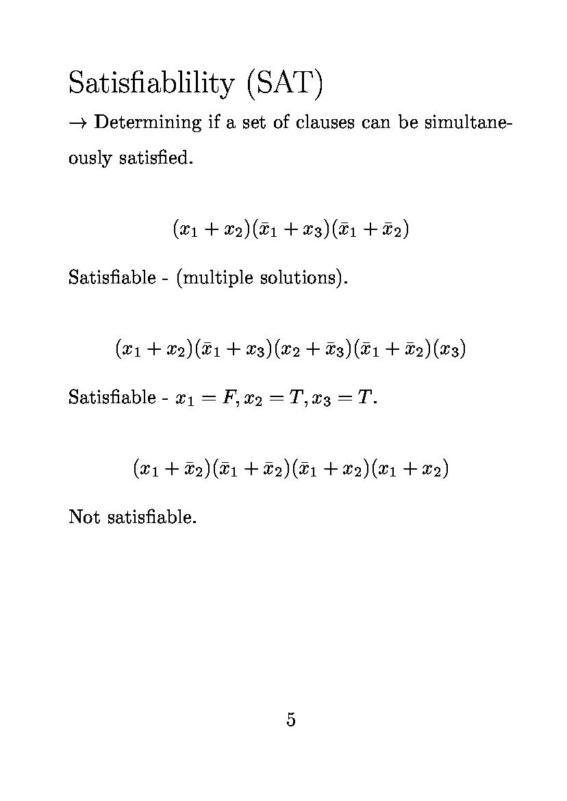
<< ^ >>